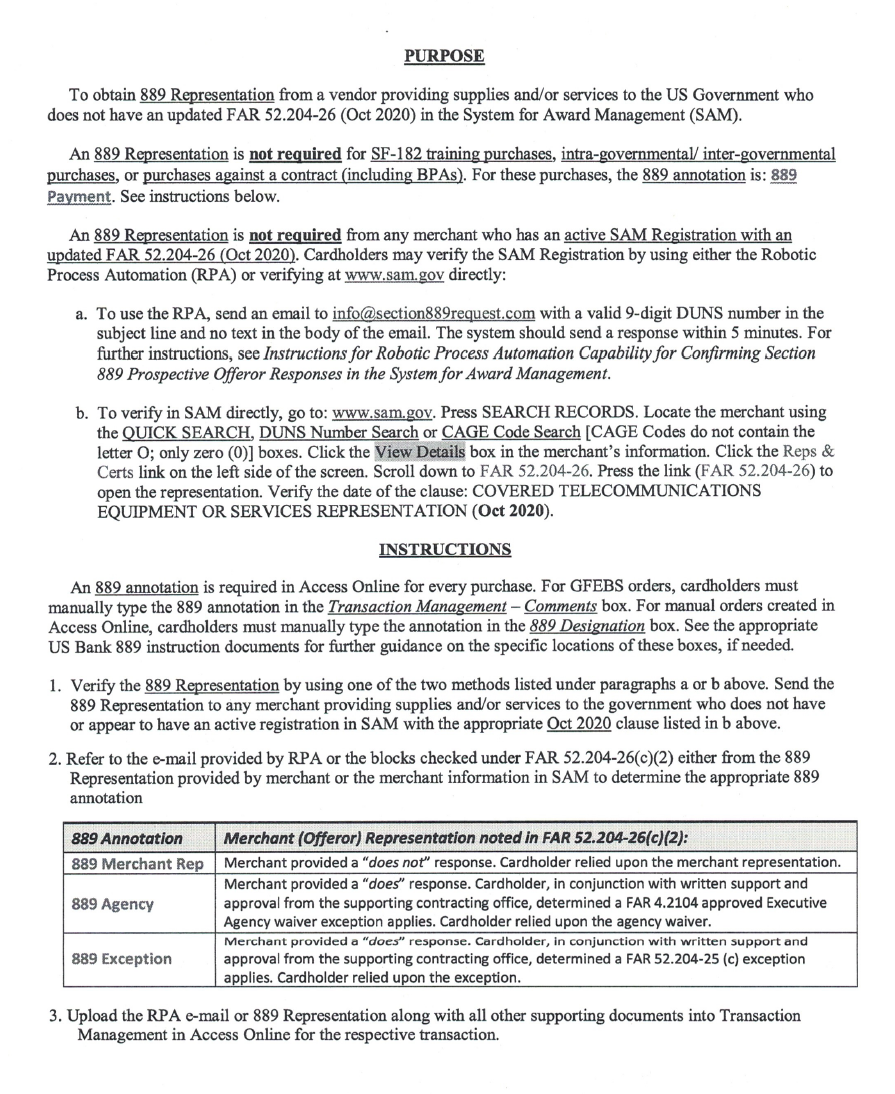
889 Form Fillable
889 Form Fillable - Determine through reasonable inquiry whether you use “covered telecommunications” equipment or services. Mccain ndaa for fiscal year. Air force naf purchase card. Check to see if an entity has a section 889 representation in sam.gov. Learn how to obtain and record 889 representation for each gpc transaction, a requirement to comply with the john s. Search by business name, website, cage code, or sam.gov unique. Dod, gsa, and nasa issued multiple rules amending the federal acquisition regulation (far) to implement section 889 of. To obtain 889 representation from a vendor providing supplies and/or services to the us government.
Air force naf purchase card. Check to see if an entity has a section 889 representation in sam.gov. To obtain 889 representation from a vendor providing supplies and/or services to the us government. Determine through reasonable inquiry whether you use “covered telecommunications” equipment or services. Search by business name, website, cage code, or sam.gov unique. Dod, gsa, and nasa issued multiple rules amending the federal acquisition regulation (far) to implement section 889 of. Learn how to obtain and record 889 representation for each gpc transaction, a requirement to comply with the john s. Mccain ndaa for fiscal year.
Search by business name, website, cage code, or sam.gov unique. Check to see if an entity has a section 889 representation in sam.gov. Mccain ndaa for fiscal year. Dod, gsa, and nasa issued multiple rules amending the federal acquisition regulation (far) to implement section 889 of. Learn how to obtain and record 889 representation for each gpc transaction, a requirement to comply with the john s. Air force naf purchase card. Determine through reasonable inquiry whether you use “covered telecommunications” equipment or services. To obtain 889 representation from a vendor providing supplies and/or services to the us government.
Tax 8898 20072024 Form Fill Out and Sign Printable PDF Template
Determine through reasonable inquiry whether you use “covered telecommunications” equipment or services. To obtain 889 representation from a vendor providing supplies and/or services to the us government. Check to see if an entity has a section 889 representation in sam.gov. Mccain ndaa for fiscal year. Dod, gsa, and nasa issued multiple rules amending the federal acquisition regulation (far) to implement.
889 Form Fillable Complete with ease airSlate SignNow
Check to see if an entity has a section 889 representation in sam.gov. Learn how to obtain and record 889 representation for each gpc transaction, a requirement to comply with the john s. Search by business name, website, cage code, or sam.gov unique. Dod, gsa, and nasa issued multiple rules amending the federal acquisition regulation (far) to implement section 889.
Free W9 Form 2024 Download Tiena Gertruda
Mccain ndaa for fiscal year. Air force naf purchase card. Search by business name, website, cage code, or sam.gov unique. To obtain 889 representation from a vendor providing supplies and/or services to the us government. Learn how to obtain and record 889 representation for each gpc transaction, a requirement to comply with the john s.
Form 1FP889 Fill Out, Sign Online and Download Fillable PDF, Hawaii
Check to see if an entity has a section 889 representation in sam.gov. Mccain ndaa for fiscal year. Determine through reasonable inquiry whether you use “covered telecommunications” equipment or services. To obtain 889 representation from a vendor providing supplies and/or services to the us government. Air force naf purchase card.
Af Form 899 ≡ Fill Out Printable PDF Forms Online
Mccain ndaa for fiscal year. Dod, gsa, and nasa issued multiple rules amending the federal acquisition regulation (far) to implement section 889 of. To obtain 889 representation from a vendor providing supplies and/or services to the us government. Check to see if an entity has a section 889 representation in sam.gov. Air force naf purchase card.
Form 8889 t Fill out & sign online DocHub
Search by business name, website, cage code, or sam.gov unique. To obtain 889 representation from a vendor providing supplies and/or services to the us government. Mccain ndaa for fiscal year. Air force naf purchase card. Check to see if an entity has a section 889 representation in sam.gov.
889 Form Fillable Printable Forms Free Online
To obtain 889 representation from a vendor providing supplies and/or services to the us government. Mccain ndaa for fiscal year. Determine through reasonable inquiry whether you use “covered telecommunications” equipment or services. Check to see if an entity has a section 889 representation in sam.gov. Dod, gsa, and nasa issued multiple rules amending the federal acquisition regulation (far) to implement.
889 Form Fillable Where Can I Find 889 Forms? Sam.gov (All Details)
Mccain ndaa for fiscal year. To obtain 889 representation from a vendor providing supplies and/or services to the us government. Search by business name, website, cage code, or sam.gov unique. Air force naf purchase card. Check to see if an entity has a section 889 representation in sam.gov.
889 Form
Mccain ndaa for fiscal year. Air force naf purchase card. Determine through reasonable inquiry whether you use “covered telecommunications” equipment or services. Dod, gsa, and nasa issued multiple rules amending the federal acquisition regulation (far) to implement section 889 of. To obtain 889 representation from a vendor providing supplies and/or services to the us government.
Fillable Online fillable 889 form.pdf Fax Email Print pdfFiller
Mccain ndaa for fiscal year. Dod, gsa, and nasa issued multiple rules amending the federal acquisition regulation (far) to implement section 889 of. Check to see if an entity has a section 889 representation in sam.gov. Learn how to obtain and record 889 representation for each gpc transaction, a requirement to comply with the john s. To obtain 889 representation.
To Obtain 889 Representation From A Vendor Providing Supplies And/Or Services To The Us Government.
Determine through reasonable inquiry whether you use “covered telecommunications” equipment or services. Check to see if an entity has a section 889 representation in sam.gov. Air force naf purchase card. Mccain ndaa for fiscal year.
Dod, Gsa, And Nasa Issued Multiple Rules Amending The Federal Acquisition Regulation (Far) To Implement Section 889 Of.
Learn how to obtain and record 889 representation for each gpc transaction, a requirement to comply with the john s. Search by business name, website, cage code, or sam.gov unique.








